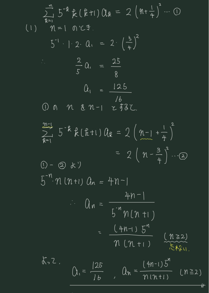
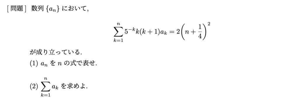
数列の一般項と和を求める問題(難度:☆☆☆)2023.03.302023.04.01この記事は約1分で読めます。目標時間は15〜20分で挑戦してみてください!!解答はこちらです!!うp主のtwitterでは毎日数学の問題を投稿しています👍分野別数学問題集数と式,等式,不等式 複雑な形の因数分解(難度:☆☆) 3次...